2010年初级经济师金融辅导:利率与金融资产定价(7)
来源:经济师考试网 2010/6/24 收藏本页 http://www.jjsexam.com/
现值(Present value)也称作在用价值,是现在和将来(或过去)的一笔支付或支付流在今天的价值。
(一)系列现金流的现值
将系列中每个期间的流量分别计算现值,然后相加。
公式:

其中,Ai表示第i年末的现金流量,i=1,2,…n
特殊情况,如果是每年的流量相等,那么可以直接去查年金现值系数表。
【例题6,计算题】有一系列的现金流,第1年年末是100,第2年年末是200,第3年年末是200,第4年年末是400,若折现率是8%,则这一系列现金流的现值为多少?
解答:利用公式,对每个流量分别折现,再相加,得到
![]()
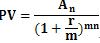
(二)连续复利下的现值
如果一年之内多次支付利息,则利息率为r/m,此时现值公式为:
![]()
【例题7,计算题】假定三年后可以收到现金流100元,贴现率为8%,按季度计息,则现值为多少?

结论:每年的计息次数越多,现值越小。随着计息间隔时间的缩短,现值以递减的速度减少,最后等于连续复利的终值。
考试交流区报名时间交流群(点击加入QQ群可快速加群交流成绩查询相关信息我们会及时在群里通知):
温馨提示:有任何报考及考试相关疑问,可添加网校专业老师个人微信号“edu24olxu”咨询。!考生可下载手机APP,随时掌握考试资讯!

扫一扫上面的二维码,添加老师个人微信号,所有课程八折开通
相关文章
版权声明 --------------------------------------------------------------------------------------
如果本站所转载内容不慎侵犯了您的权益,请与我们联系
,我们将会及时处理。如转载本站内容,请注明来源:经济师考试网(jjsexam.COM)。
如果本站所转载内容不慎侵犯了您的权益,请与我们联系
,我们将会及时处理。如转载本站内容,请注明来源:经济师考试网(jjsexam.COM)。学员登陆
网校历年通过率

环球网校经济师历年通过率比较
![]() 刘艳霞老师 |
刘艳霞老师:会计师、注册会计师。环球职业教育在线会计职称、注册税务师、注册会计师、会计从业、经济师等课程辅导专家。...[详细] |
![]() 胡艳君老师 |
胡艳君老师,上海财经大学经济学博士。任职于北京某高校经济学类、管理学类的辅导老师。.[详细] |



