第二节 货币的时间价值
考试内容:
单利和复利的概念,现值与终值的概念及其计算,系列现金流现值的计算,连续复利下现值的计算。
终值(单利、复利、连续复利)转自环球网校edu24ol.com
现值(复利、连续复利)
一、复利与终值
单利
复利(按年计息、一年多期计息)
连续复利
(一)单利与复利
利息的计算分单利和复利
单利就是不论借贷期限的长短,仅按本金计算利息,上期本金所产生的利息不记入下期本金重复计算利息。
![]()
例如:100元存入银行,年利率为3%,利息为多少?
1年为3元:100×3%=3元
2年为6元:100×3%+100×3%=6元
3年为9元:100×3%+100×3%+100×3%=9元
复利也称利滚利,就是将每一期所产生的利息加入本金一并计算下一期的利息。
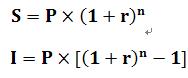
S——复利终值(本利和)
P——复利现值(本金)
r——利率
n——时间(期数)
n与r要匹配。
复利计算公式为:

【例题1,计算题】已知1000元本金,利率为8%。
(1)计算二年期终值是多少?
答案:
S=1000×(1+8%)2
(2)求第三年的利息是多少?
答案:I=1000×(1+8%)2×8%×1
【思考,还有什么解法?】
(3)求三年期本利和是多少?
答案:S=1000×(1+8%)3
考试交流区报名时间交流群(点击加入QQ群可快速加群交流成绩查询相关信息我们会及时在群里通知):
温馨提示:有任何报考及考试相关疑问,可添加网校专业老师个人微信号“edu24olxu”咨询。!考生可下载手机APP,随时掌握考试资讯!

扫一扫上面的二维码,添加老师个人微信号,所有课程八折开通
相关文章
如果本站所转载内容不慎侵犯了您的权益,请与我们联系
,我们将会及时处理。如转载本站内容,请注明来源:经济师考试网(jjsexam.COM)。
环球网校经济师历年通过率比较
![]() 刘艳霞老师 |
刘艳霞老师:会计师、注册会计师。环球职业教育在线会计职称、注册税务师、注册会计师、会计从业、经济师等课程辅导专家。...[详细] |
![]() 胡艳君老师 |
胡艳君老师,上海财经大学经济学博士。任职于北京某高校经济学类、管理学类的辅导老师。.[详细] |



