第三节 收益率
一、名义收益率
名义收益率又称票面收益率,是债券票面上的固定利率,即票面收益与债券面额之比率。
【例1·单选题】(2011真题)
债券的票面收益与面额的比率是( )。
A.当期收益率
B.名义收益率
C.到期收益率
D.实际收益率
【正确答案】B
【答案解析】本题考查名义收益率的概念。名义收益率又称票面收益率,是债券票面上的固定利率,即票面收益与债券面额之比率。
【例2·单选题】(2011真题)
如果某债券面值为100元,本期获得的利息(票面收益)为8元,当前市场交易价格为80元,则该债券的名义收益率为( )。
A.4%
B.5%
C.8%
D.10%
【正确答案】C
【答案解析】本题考查名义收益率的计算。名义收益率=票面收益/面值=8/100=8%。
二、到期收益率
到期收益率:指到期时信用工具的票面收益及其资本损益与买入价格的比率。其计算公式为:
其中,r为到期收益率,C为票面收益(年利息),Mn为债券的偿还价格,P0为债券的买入价格,T为买入债券到期的时间。
到期收益率是衡量利率的确切指标。
【例3·多选题】(2011真题)
决定债券到期收益率的因素有( )。
A.票面收益
B.买入债券到债券到期的时间
C.偿还价格
D.购买价格
E.汇率
【正确答案】ABCD
【答案解析】本题考查债券到期收益率计算公式涉及的因素。到期收益率的计算公式涉及票面收益(年利息)、债券的偿还价格、债券的买入价格、买入债券到债券到期的时间(以年计算)。
(一)零息债券的到期收益率
1.零息债券:折价出售,到期按面值兑现。
2.零息债券的到期收益率的计算(掌握)
(1)零息债券每年复利一次的计算
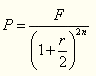
式中,P为债券价格,F为债券票面价值,r为到期收益率,n为期限。
例:一年期零息债券,票面额100元,若购买价格为90元,则到期收益率为:
【正确答案】
(2)零息债券每半年复利一次的计算
例:某公司折价发行债券面值为100元,期限10年,若价格为30元,则到期收益率为:
【正确答案】
[1] [2] [3] [4] [5] [6] [7] [8] [9] [10] 
考试交流区报名时间交流群(点击加入QQ群可快速加群交流成绩查询相关信息我们会及时在群里通知):
温馨提示:有任何报考及考试相关疑问,可添加网校专业老师个人微信号“edu24olxu”咨询。!考生可下载手机APP,随时掌握考试资讯!

扫一扫上面的二维码,添加老师个人微信号,所有课程八折开通
相关文章
如果本站所转载内容不慎侵犯了您的权益,请与我们联系
,我们将会及时处理。如转载本站内容,请注明来源:经济师考试网(jjsexam.COM)。
环球网校经济师历年通过率比较
![]() 刘艳霞老师 |
刘艳霞老师:会计师、注册会计师。环球职业教育在线会计职称、注册税务师、注册会计师、会计从业、经济师等课程辅导专家。...[详细] |
![]() 胡艳君老师 |
胡艳君老师,上海财经大学经济学博士。任职于北京某高校经济学类、管理学类的辅导老师。.[详细] |



