2011年中级经济师金融辅导:金融资产定价(一)
一、利率与金融资产定价
有价证券价格实际上是以一定市场利率和预期收益率为基础计算得出的现值。
(一)票据定价(掌握)
票据一般均标明面值,没有票面利率。票据发行有等价发行和非等价发行两种。
等价发行就是按面额发行;非等价发行就是指票据发行价与面额价值不等,又有溢价发行(高于面值)和折价发行(低于面值)发行两种形式。
1、票据交易价格即面值扣除利息后的金额,主要取决于市场利率。

P为交易价格,A为面值,r为市场利率,n为期限。
例:一张为期3个月的1000万元票据,市场利率为0.5%(不计复利),该票据交易价格:

2、票据在持有期贴现,则票据的贴现价格就是票面额扣除贴息以后的金额。
P=A(1-n*d) d为贴现率
例:某人将为期3个月票面100万元票据,1个月后贴现,贴现率为6%
P=100-100*6%/(2/12)=99万元
(二)债券定价(掌握)
有价证券交易价格主要依据货币的时间价值即未来收益的现值确定。
债券价格分债券发行价和债券转让价。
债券的发行价格通常根据票面金额决定,特殊情况下采取折价或溢价的方式。
债券的流通转让价格由债券的票面金额、利率(票面利率、市场利率或预期收益率)和实际持有期限三个因素决定。
1、到期一次还本付息债券定价

P为交易价格,S为到期日本利和,r为利率或贴现率
例:假若面额为100元的债券,不支付利息,贴现出售,期限1年,收益率3%,到期一次归还,则该债券的价格为:

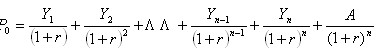
2、分期付息到期归还本金债券定价

例:现有年收益率为14%每年付息一次的债券,面额100元,期限10年。当市场利率为15%时则交易价格:

(4)结论
市场利率>债券收益率(票面利率),折价发行
市场利率<债券票面利率,溢价发行
市场利率=债券票面利率,等价发行
3、债券期限若为永久,其价格确定与股票价格计算相同(见以下股票定价内容)。
考试交流区报名时间交流群(点击加入QQ群可快速加群交流成绩查询相关信息我们会及时在群里通知):
温馨提示:有任何报考及考试相关疑问,可添加网校专业老师个人微信号“edu24olxu”咨询。!考生可下载手机APP,随时掌握考试资讯!

扫一扫上面的二维码,添加老师个人微信号,所有课程八折开通
相关文章
如果本站所转载内容不慎侵犯了您的权益,请与我们联系
,我们将会及时处理。如转载本站内容,请注明来源:经济师考试网(jjsexam.COM)。
环球网校经济师历年通过率比较
![]() 刘艳霞老师 |
刘艳霞老师:会计师、注册会计师。环球职业教育在线会计职称、注册税务师、注册会计师、会计从业、经济师等课程辅导专家。...[详细] |
![]() 胡艳君老师 |
胡艳君老师,上海财经大学经济学博士。任职于北京某高校经济学类、管理学类的辅导老师。...[详细] |



