第一章 风险与保险
第一节 风险
1.概率:可以度量风险事件发生或造成损失的可能性。
2.期望值:对未来风险事故所造成损失的推测通常以风险损失的期望值表示。
3.方差:每一次损失与期望值之差的平方的平均数。比如1.2.3.4.5 这五个数的平均数(期望值)是3,方差就是 1/5[(1-3)²+(2-3)²+(3-3)²+(4-3)²+(5-3)²]=2
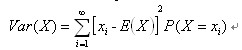
请对应公式:期望值:
方差:
4.标准差:方差的平方根。平均而言,每个观测值大约偏离期望值σ个单位。
5.离散系数:标准差与期望值的比值。 
6.偏度:描述某个变量取值分布对称性的统计量。
sk=0,分布对称;sk<0,负偏差数值大,为负偏或者左偏,长尾拖在左边;sk>0,正偏差数值大,为正偏或者右偏,长尾拖在右边;
SK绝对值越大,则损失分布形态偏移程度越大。
7.协方差:衡量两个风险之间的相关关系。
协方差表示的是两个变量总体的误差,这与只表示一个变量误差的方差不同。
如果两个变量的变化趋势一致,也就是说如果其中一个大于自身的期望值,另外一个也大于自身的期望值,那么两个变量之间的协方差就是正值。
如果两个变量的变化趋势相反,即其中一个大于自身的期望值,另外一个却小于自身的期望值,那么两个变量之间的协方差就是负值。
如果X与Y是统计独立的,那么二者之间的协方差就是0。反过来并不成立。即如果X与Y的协方差为0,二者并不一定是统计独立的。
协方差为0的两个随机变量称为是不相关的。
8.相关系数:关系数用希腊字母ρ表示,ρ值的范围在-1和+1之间。 ρ>0为正相关,ρ<0为负相关。ρ=0表示不相关;ρ 的绝对值越大,相关程度越高。
考试交流区报名时间交流群(点击加入QQ群可快速加群交流成绩查询相关信息我们会及时在群里通知):
温馨提示:有任何报考及考试相关疑问,可添加网校专业老师个人微信号“edu24olxu”咨询。!考生可下载手机APP,随时掌握考试资讯!

扫一扫上面的二维码,添加老师个人微信号,所有课程八折开通
相关文章
如果本站所转载内容不慎侵犯了您的权益,请与我们联系
,我们将会及时处理。如转载本站内容,请注明来源:经济师考试网(jjsexam.COM)。
环球网校经济师历年通过率比较
![]() 刘艳霞老师 |
刘艳霞老师:会计师、注册会计师。环球职业教育在线会计职称、注册税务师、注册会计师、会计从业、经济师等课程辅导专家。...[详细] |
![]() 胡艳君老师 |
胡艳君老师,上海财经大学经济学博士。任职于北京某高校经济学类、管理学类的辅导老师。...[详细] |




