考点一:名义利率和实际利率的换算公式
名义利率是指在一年内多次计息时的年利率j实际
利率是指在名义利率包含的单位时间内,按周期利
率复利计息所形成的总利率。把年名义利率转换为
年实际利率的计算公式为:

上式中,i为实际利率,r为名义利率,n为一年中的计息期数。
(1)当n=1时,i=r,即实际利率等于名义利率。如计息期为年时,年名义利率等同于实际利率。
(2)当n>1时,i>r,且n越大,即一年中计算复利的次数越多,则实际利率相对于年名义利率就越高。
(3)当n


考点二:资金等效值及其计算
1.等额分付终值公式

容易推导出:

上式为等额分付终值公式,

应用分析
[例6-2] 某房地产开发企业获得银行一笔为期3年的分期支付的贷款,每期支付额为1 000万元,支付期为每年年初,年贷款利率为7%,到期后一次性还本付息。问3年后该房地产
开发企业偿还银行的本息一共是多少?

2.等额分付偿债基金公式
在年利率为i的情况下,欲将第n年年末的资金F换算为与之等值的n年中每年年末的等额资金,这就是等额分付偿债基金的计算问题。显然,等额分付偿债基金的计算是等额分付终值计
算的逆运算,于是得到计算公式:

上式中,

3.等额分付现值公式

上式为等额分付现值公式,

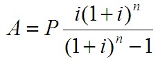
4.等额分付资本回收公式
对于初始投资为P,年利率为i时,在n年内每年年末以等额资金A回收,当A为多少时,所有的回收额等值于初始投资P。这是等额分付资本回收的计算问题,它是等额分付现值公式的逆运算,即已知现值,求与之相等值的等额年值,可由式( 6-15)得出:

考试交流区报名时间交流群(点击加入QQ群可快速加群交流成绩查询相关信息我们会及时在群里通知):
温馨提示:有任何报考及考试相关疑问,可添加网校专业老师个人微信号“edu24olxu”咨询。!考生可下载手机APP,随时掌握考试资讯!
扫一扫上面的二维码,添加老师个人微信号,所有课程八折开通
相关文章
如果本站所转载内容不慎侵犯了您的权益,请与我们联系


环球网校经济师历年通过率比较
![]() 刘艳霞老师 |
刘艳霞老师:会计师、注册会计师。环球职业教育在线会计职称、注册税务师、注册会计师、会计从业、经济师等课程辅导专家。...[详细] |
![]() 胡艳君老师 |
胡艳君老师,上海财经大学经济学博士。任职于北京某高校经济学类、管理学类的辅导老师。...[详细] |